Nippon Steel – Japan

Omission of lateral buckling reinforcement in beam member

Building use

Warehouse

Country/Region

Japan

Overview

The lateral stiffener omission construction method is an application technology to narrow width cross sections, and a construction method allowing lateral stiffeners to be omitted provided that certain conditions are met in accordance with a newly created proof stress formula with high precision, which takes into consideration the constraining effect from horizontal displacement of the upper flange of the beam given by the constraining effect of the floor slab. Design with rational economics can be realized by taking advantage of these construction methods.


Basic information (construction date, number of stories, gross floor area, adopted design code, engineer(s), Contractor(s), etc.)

Construction date: 2018
Number of stories: 4
Gross floor area: 40,000m2
Adopted design code: Japan Building Standard act, Japanese prequalified design code
Engineer(s): Nippon Steel and others
Contractor(s): Japanese contractor


Issue and/or innovation

Cost reduction in steel fabrication and installation
Labor saving in installation


Technical details

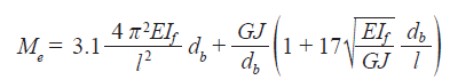
In case of a steel structural beam with floor slab installed thereon and fixed thereto with share connecters (headed stud), lateral buckling strength is enhanced by the restrained lateral displacement of the upper flange. Then, in the method, taking into consideration the restraining effect, the following new formula of Me of elastic lateral buckling strength has been developed for an H-shaped beam of which both ends are rigidly connected to columns, being exerted upon by double curvature bending moment.


Impact or effectiveness

By applying the “design and construction method for steel beams with stiffened slender web,” steel weight saving by more than 10% may be achieved. Furthermore, lateral braces may be omitted by applying the “Innovative lateral torsional buckling design method for composite steel beams”.


References / Technical Papers Content

Koji FUKUDA, Satoshi KITAOKA, Application Technology of NSHYPER BEAM™,NIPPON STEEL & SUMITOMO METAL TECHNICAL REPORT No. 113 DECEMBER 2016, https://www.nipponsteel.com/en/tech/report/nssmc/no113.html
Satoshi KITAOKA, STRENGTH OF LATERAL–TORSIONAL BUCKLING OF A COMPOSITE STEEL BEAM SUBJECTED TO REVERSE CURVATURE BENDING, Proceedings of the Eighth International Conference on Composite Construction in Steel and Concrete, July 2017


Supplementary documents

Supplementary document - 1 Supplementary document - 2 Supplementary document - 3 Supplementary document - 4

References / Technical Papers

References / Technical Paper - 1

Categories

Building, Beam

constructsteel is not liable for the solutions and products displayed. The companies/solutions providers are solely responsible for the information provided.

All images on this page are used with permission or believed to be in the public domain. If you believe any image infringes your copyright, please contact us at constructsteel@worldsteel.org for prompt resolution.

To upload a product, click here

To view FAQ's, click here